Тактика риска

Принимается первое решение, как обеспечивающее наибольший результат.

Несмотря на логичность и очевидность такого подхода, как показывают психологические исследования, стратегия максимизации ожидаемой ценности принимается человеком далеко не всегда. Можно предположить, что причина этого в ряде органических недостатков, присущих упомянутой стратегии. Во-первых, данная стратегия не связывает в явном виде полезность того или иного результата и его вероятность. Это не дает возможности учесть влияние различных видов функций полезности (ровной, смелой, осторожной), которые имеют место в реальных условиях принятия решения. Во-вторых, полезность результата не связана с вероятностью риска, что также не соответствует действительности. Обычно чем более рискован результат, тем меньше его полезность. В-третьих, вероятности состояний природы в сумме должны здесь составлять единицу (полная группа событий), что не всегда правильно – не все условия можно учесть.

Несмотря на эти явные недостатки, рассматриваемая стратегия является наиболее употребительной (возможно, за неимением лучшей). Отдельные эксперименты показывают, что до 92 % лиц, принимавших решение, следовали данной стратегии. Во время экспериментов испытуемые исполняли обязанности операторов сложных приборов, прекративших работу. Эксперименты показали, что человек тем точнее следует данной стратегии, чем проще задача, содержащая риск.

Стратегия предпочтения, относящегося к вероятности

Суть этой стратегии в том, что принимающий решение, связанное с риском, останавливается на тех альтернативах, при которых вероятности исходов его удовлетворяют.

Допустим, имеются два альтернативных решения. В первом с вероятностью 0,5 можно получить выигрыш (полезность), равный + 6, либо с той же вероятностью проигрыш -6. Сокращенно это можно записать как

а1 (0,5 + 6; 0,5, - 6).

Вторая альтернатива содержит разные вероятности исходов:

а2 (0,2, + 8; 0,8, - 2).

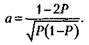
Несмотря на то что с точки зрения стратегии максимизации ожидаемой ценности обе альтернативы равноценны, во многих экспериментах испытуемые предпочитают первую альтернативу, не содержащую одинаковые вероятности выигрыша и проигрыша. В тех же случаях, когда обе альтернативы содержат разные вероятности, предпочтение отдается той, в которой они отличаются меньше. Различие вероятностей Р может быть охарактеризовано асимметрией а:

В случае равенства вероятностей а = 0. Помимо стремления к возможно меньшему расхождению вероятностей исходов принимающий решение обычно оказывает предпочтение вполне определенным величинам вероятности. Было, например, отмечено такое предпочтение вероятностей 0,7 и 0,8 при явной неприязни к числам 0,6 и 0,9.

Стратегия предпочтения, относящегося к рассеиванию (дисперсии) полезности

Принимающий решение обычно предпочитает, чтобы величины полезности выигрыша (вероятности проигрыша) имели возможно меньшее рассеивание. Из двух альтернатив:

а1 (0,5 + 6; 0,5, -6) и а2 (0,5, + 6000; 0,5,-6000)

обычно предпочитают первую. Дело здесь, видимо, в том, что принимающий решение интуитивно стремится сузить круг возможных вариантов исходов решаемой им задачи.

Стратегия сочетания ожидаемой ценности и величины риска

Игнорирование учета величины риска при принятии решений в рискованной обстановке, свойственное стратегии максимизации ожидаемой ценности, приводит к парадоксам.

Допустим, имеются две пары альтернатив.

Первая пара:

а1 (1,0, 1 000 000 руб.; 0, 0 руб.),

а2 (0,10, 5 000 000 руб.; 0,89, 1 000 000 руб.; 0,01,0 руб.).

Вторая пара:

а3 (0,11, 1 000 000 руб.; 0,89, 0 руб.).

а4 (0,10,5 000 000 руб.; 0,90,0 руб.).

Эксперимент показывает, что большинство людей в первой паре останавливаются на a1, a во второй паре – на а4. Альтернатива, привлекает тем, что здесь с полной определенностью следует большой выигрыш, альтернатива – тем, что здесь фигурирует очень высокий выигрыш.

В соответствии со стратегией максимизации ожидаемой ценности полезности соответствующих альтернатив должны соотноситься между собой так:

П а1 > П а2;

П аз < П а4.

Подставляя в первое неравенство численные значения, после преобразования получим:

1,0, 1000 000; 0,0 > 0,10, 5 000 000;

0,89, 1000 000; 0,01,0.

Из второго неравенства следует, что

0,11, 1 000 000; 0,89, 0 < 0,10, 5 000 000; 0,90, О

Последние два выражения противоречат друг другу. Причина этого парадокса в том, что стратегия максимизации ожидаемой ценности не учитывает предпочтений, относящихся к риску. Наряду с учетом ожидаемой ценности результата принимающий решение стремится избежать по возможности большого риска.

Перейти на страницу: 1 2 3 4 5

Меню сайта